作品名:节操能
作者:天轮+冥 血蝴蝶
属于萌物理学领域内的一个分支,是二次元历史上的一项伟大发明与发现。
但因为其在军事和科学领域上拥有的巨大潜能和破坏力。
此技术仍被少数国家所控制与掌握。
通过其技术制造的节操能反应堆被证明是世界能源的最终解决方案,但是同时因为高浓度的节操聚集拥有极大的危险性和可能的破坏力。所以对于大部分节操能驱动的装置都有节操丧失阀。
当节操浓度到达一定指数时,一定会发生丧失节操的现象。以保证节操反应堆不会进行武器级改造。
和平开发节操能事宜由国际节操能委员会与各国节操能委员会监督与管理。

基于对节操能的和平开发,萌物理学中的一个重要派系便是节操物理学。其理论基础便是节操物理学三大定律
以上两种表述方式等价
比如說B【嗶】娘拿著一支Tac-50對著A【嗶】娘開火,結果A【嗶】娘淪落到學姐的下場……【請自行腦補】
在這個劇場版電影之中……【ps:算是吧】……原來A【嗶】娘是有節操的,結果被B【嗶】娘的無限怨念搞到無節操
也就是說,如果B【嗶】娘不推A【嗶】娘的話,A【嗶】娘依舊有大大的節操……
节操无法从有节操的物体转移到无节操的物体上,而不引起其他变化。
例:永远不要试图用自己的节操去感化一个没有节操的人,这只会令大家都失去节操。
节操第二定律延伸:如果没有任何外部作用,任何区间内的节操总成减少趋势。
延伸:操寂假说 : 宇宙中的节操总量最后将无限接近于0,但永远不会为0。(参考节操方程式)
一个物体失去节操的速度,与其本身的节操总量成正比,与区间内其他物体的节操总量成反比
也就是说,当A试图去降低B的节操时。A的节操越低或B的节操越高时,B节操降低的速度就越快,当B的节操降低到一定程度时,速度会变慢
当A B两人节操相差不大时,节操降低不明显。
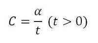
由伟大的爱因斯坦娘提出的定律,用于计算区间内的节操总量
C:区间内的节操总量
α:节操变量
t:时间
因此,节操方程式可以被展开成如下格式
α = Ct
节操变量随周围的环境而变,但总大于0。其数值越大,节操减少速度越快。
其曲线如图所示